VOXPERM YELLOW 139
Colot Index Name : 02
Color Index No. : 56298
Product Code : VX-PY-139
Chemical Name : High Performance Organic Pigment
Full Tone
Full tone
Reduction
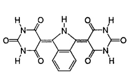
Structural Formula
| Application | |||||||
|---|---|---|---|---|---|---|---|
| Application Type | Application Sub Type | Recommended | TDS File | ||||
| Plastics | General Masterbatches | 0 | |||||
| Physical Properties | ||
|---|---|---|
| Parameter | Values | Method |
| Specific gravity | 1.6 gm/cm3 | IS-3493 |
| Oil absorption | 54 g/100g (±5 gm | IS-3493 |
| pH of aqueous extract | 6-8 | IS-3493 |
| Moisture content | Max. 1.0 % | IS-3493 |
| Residue on sieve ( 45 µm ) | Max. 0.5% | IS-3493 |
| Fastness Properties | ||
|---|---|---|
| Parameter | Values | Method |
| Heat Stability ( 5 min ) | 240°C | VX/FP/002 |
| Light Fastness ( 1 - 8 ) | ||
| Full shade | 6-7 | DIN EN ISO4892-2 |
| Reduction | 6-7 | IS 33 1992 |
| Weather Fastness ( 1 - 5 ) | ||
| Full shade | ASTM G 155 | |
| Reduction | ASTM G 155 | |
| Migration | 4-5 | DIN EN 20105-A03 |
| Bleeding Properties | ||
|---|---|---|
| Parameter | Values | |
